SAT Math: Create and solve equation in 1 variable in radicals or the denominator

Here are 4 SAT math questions for "create and solve equation in 1 variable in radicals or the denominator" with answers and drafts. These handy resources help students enhance particular topics in Advanced Math. You can choose the question number to start practicing online and get the answer or draft with one click.

Current Type: Advanced Math

Change Type:
Algebra Problem-Solving and Data Analysis Advanced Math Geometry and Trigonometry
Free Online Vocabulary Test
K12, SAT, GRE, IELTS, TOEFL
 Select Question
Advanced Math
Create and solve equation in 1 variable in radicals or the denominator
1234
 The Selected Question
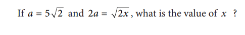
Question Number: 2
Choose the best answer from the choices provided.

SAT math test

Your Answer:

Show Answer:
The question is from Official SAT Practice Test #3, by College Board.
Show draft for the answer